Beranda
/ Contoh Soal Persamaan Tangen Kelas 11 - Soal Sbmptn Materi Persamaan Trigonometri Jawabanku Id - Materi ini meliputi turunan, turunan rantai, turunan perkalian dan pembagian fungsi serta aplikasi turunan.
Contoh Soal Persamaan Tangen Kelas 11 - Soal Sbmptn Materi Persamaan Trigonometri Jawabanku Id - Materi ini meliputi turunan, turunan rantai, turunan perkalian dan pembagian fungsi serta aplikasi turunan.
Contoh Soal Persamaan Tangen Kelas 11 - Soal Sbmptn Materi Persamaan Trigonometri Jawabanku Id - Materi ini meliputi turunan, turunan rantai, turunan perkalian dan pembagian fungsi serta aplikasi turunan.. Di dalam gelas kimia direaksikan amonium klorida padat dengan barium hidroksida padat sehingga dihasilkan barium klorida, air, dan gas amonia. Pertidaksamaan trigonometri dan contoh soal pertidaksamaan trigonometri bisa diselesaikan dengan dua cara yaitu dengan menggunakan grafik fungsi trigonometri dan dengan cara menggunakan garis bilangan. Materi ini biasanya muncul di kelas xi yaitu di matematika minat untuk kurikulum 2013. Contoh soal persamaan trigonometri dan pembahasan contoh soal 1. Materi turunan diajarkan pada tingkat sma kelas 11.
Contoh soal persamaan trigonometri kelas 11. Kali ini ini akan dibahas mengenai contoh soal dan pembahasan persamaan gelombang. Kumpulan soal trigonometri dan pembahasannya novi suryani. Bentuk persamaan trigonometri fungsi tangen. Berikut rumus dan contoh soal persamaan dan pertidaksamaan mutlak pembahasannya.
Persamaan Trigonometri Dasar Pembelajaran Matematika Minat Dan Wajib Bersama Nursyamsiah Hartanti Kelas Xi Mipa Dan Kelas Xii Ips from matematikaminat.files.wordpress.com X = 45 0 dan 135 0. Persamaan trigonometri didefinisikan sebagai persamaan yang melibatkan perbandingan trigonometri, seperti sinus, cosinus, tangen, dan sebagainya. Sudut a adalah sudut tumpul sedangkan sudut b. Contoh soal hukum kirchoff tentang loop beserta jawabannya Contoh soal persamaan trigonometri dan pembahasan contoh soal 1. Sehingga, (kedua ruas dibagi 5) atau, himpunannya, atau. Pada kurikulum 2013 maka materi persamaan gelombang juga terdapat di kelas 11 semester 2. Sebelumnya kita sudah pernah membahas materi tentang trigonometri jumlah dan selisih dua sudut.
Suatu bentuk persamaan kuadrat dapat diselesaikan dengan 3 cara, yaitu:
Contoh soal persamaan trigonometri kelas 11. Dari dua persamaan di atas, sifat turunan fungsi aljabar nomor 2 dapat digunakan untuk menentukan turunan trigonometri tangen, sekan, kosekan, dan kotangen. Contoh soal program linear kelas 11 disertai pembahasannya. Contoh soal tersebut berdasarkan trend contoh soal psikotes yang beredar di. Semoga sehat ya, nah pada kesempatan yang baik ini, lagi lagi kakak akan memberikan contoh soal latihan sebanyak 75 soal yang dibahas pada mata pelajaran pendidikan agama islam, soal ini sudah kakak susun dalam bentuk essay dan merupakan soal terbaru dari kurikulum 2013. Pada kurikulum 2013 maka materi persamaan gelombang juga terdapat di kelas 11 semester 2. Sebelumnya kita sudah pernah membahas materi tentang trigonometri jumlah dan selisih dua sudut. By ahmad ghani posted on august 21, 2020. Berikut disajikan soal turunan (jika mau mendownload, silahkan pada bagian bawah postingan ini, 1. Diketahui persamaan trigonometri sin 2 x = cos 3 x, maka himpunan penyelesaiannya adalah…. Persamaan trigonometri didefinisikan sebagai persamaan yang melibatkan perbandingan trigonometri, seperti sinus, cosinus, tangen, dan sebagainya. Sudut a adalah sudut tumpul sedangkan sudut b. Siap tau kan beberapa soal berikut akan keluar dalam uas kalian?
Kumpulan soal trigonometri dan pembahasannya novi suryani. Berikut disajikan soal turunan (jika mau mendownload, silahkan pada bagian bawah postingan ini, 1. Pada kesempatan kali ini quipper blog akan membahas suatu topik yang menarik lho, yaitu solusi super menyelesaikan soal tentang kinematika vektor. Topik yang dibahas penggunaan rumus jumlah dan selisih sudut. X = 45 0 dan 135 0.
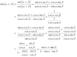
Contoh Soal Bab Trigonometri Dan Pembahasannya from image.slidesharecdn.com By ahmad ghani posted on august 21, 2020. Kumpulan soal trigonometri dan pembahasannya novi suryani. Hp = 45 0 dan 135 0. Bentuk persamaan trigonometri fungsi tangen. Sudut a adalah sudut tumpul sedangkan sudut b. Tan a tan b tan a tan b. Soal turunan kelas 11 sma. Pertidaksamaan trigonometri dan contoh soal pertidaksamaan trigonometri bisa diselesaikan dengan dua cara yaitu dengan menggunakan grafik fungsi trigonometri dan dengan cara menggunakan garis bilangan.
Jadi, buat kalian yang ingin mempelajari materi ini silahkan di download langsung di sini.
Bagi beberapa orang trigonometri adalah bagian dari geometri. Penyelesaian persamaan kuadrat menggunakan sifat faktor nol, yaitu: Materi turunan diajarkan pada tingkat sma kelas 11. Soal turunan kelas 11 sma. Jadi, buat kalian yang ingin mempelajari materi ini silahkan di download langsung di sini. Contoh soal program linear kelas 11 disertai pembahasannya. Topik yang dibahas penggunaan rumus jumlah dan selisih sudut. Kumpulan soal trigonometri dan pembahasannya novi suryani. Contoh soal persamaan trigonometri kelas 11 kurikulum 2013. Soal persamaan lingkaran dan pembahasan kelas xi 1. Akar 2 sin x = 1. Materi persamaan trigonometri sinus, kosinus dan tangen beserta contoh soal dan pembahasan jibang p.hutagaol,m.pd. Materi ini meliputi turunan, turunan rantai, turunan perkalian dan pembagian fungsi serta aplikasi turunan.
Di dalam gelas kimia direaksikan amonium klorida padat dengan barium hidroksida padat sehingga dihasilkan barium klorida, air, dan gas amonia. Pertidaksamaan trigonometri dan contoh soal pertidaksamaan trigonometri bisa diselesaikan dengan dua cara yaitu dengan menggunakan grafik fungsi trigonometri dan dengan cara menggunakan garis bilangan. Materi turunan diajarkan pada tingkat sma kelas 11. Topik yang dibahas penggunaan rumus jumlah dan selisih sudut. Kumpulan soal trigonometri dan pembahasannya novi suryani.
Fungsi Trigonometri Serta Contoh Soalnya Tambah Pinter from i0.wp.com Penyelesaian persamaan kuadrat menggunakan sifat faktor nol, yaitu: Diketahui persamaan trigonometri sin 2 x = cos 3 x, maka himpunan penyelesaiannya adalah…. X = 45 0 dan 135 0. Dari persamaan 1 2 dan 3 didapat rumus sebagai berikut. Contoh soal persamaan trigonometri kelas 11 kurikulum 2013. Di dalam gelas kimia direaksikan amonium klorida padat dengan barium hidroksida padat sehingga dihasilkan barium klorida, air, dan gas amonia. Agar lebih memahami tentang penjumlahan dan pengurangan sinus, pelajarilah penggunaannya dalam contoh soal berikut. Tahukah kamu berdasarkan data yang quipper blog punya, topik soal tentang kinematika vektor adalah.
Materi matematika,,, sebagai pembelajaran yang dapat mendidik kekuatan berpikir dengan perkembangan otak sehingga pembelajaran juga menghitung, kami sekarang memberikan contoh soal matematika.
Untuk lebih memahami fungsi trigonometri mari kita pelajari contoh trigonometri dan pembahasan trigonometri berikut ini: Posted in matematika tagged contoh soal persamaan trigonometri kelas 11, contoh soal persamaan trigonometri tangen, makalah persamaan trigonometri,. Tahukah kamu berdasarkan data yang quipper blog punya, topik soal tentang kinematika vektor adalah. Tengok dulu 3 kelompok rumus penyelesaian persamaan trigonometri Soal persamaan lingkaran dan pembahasan kelas xi 1. Rumus selisih sudut untuk tan sehingga soal no. Contoh soal trigonometri kelas 11. Suatu bentuk persamaan kuadrat dapat diselesaikan dengan 3 cara, yaitu: Berikut disajikan soal turunan (jika mau mendownload, silahkan pada bagian bawah postingan ini, 1. By ahmad ghani posted on august 21, 2020. Contoh soal tersebut berdasarkan trend contoh soal psikotes yang beredar di. Contoh soal program linear kelas 11 disertai pembahasannya. Materi matematika,,, sebagai pembelajaran yang dapat mendidik kekuatan berpikir dengan perkembangan otak sehingga pembelajaran juga menghitung, kami sekarang memberikan contoh soal matematika.
Berbagi
Posting Komentar
untuk "Contoh Soal Persamaan Tangen Kelas 11 - Soal Sbmptn Materi Persamaan Trigonometri Jawabanku Id - Materi ini meliputi turunan, turunan rantai, turunan perkalian dan pembagian fungsi serta aplikasi turunan."
Posting Komentar untuk "Contoh Soal Persamaan Tangen Kelas 11 - Soal Sbmptn Materi Persamaan Trigonometri Jawabanku Id - Materi ini meliputi turunan, turunan rantai, turunan perkalian dan pembagian fungsi serta aplikasi turunan."